zeljko-dinamika translacije
1.jpg
1.jpg
10.jpg
10.jpg
11.jpg
11.jpg
12.jpg
12.jpg
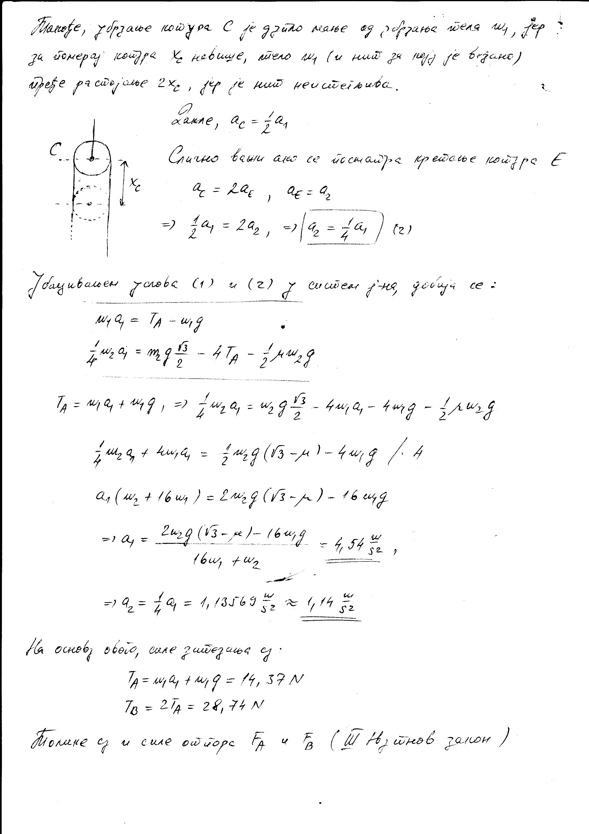
13.jpg
13.jpg
14.jpg
14.jpg
15.jpg
15.jpg
16.jpg
16.jpg
17.jpg
17.jpg
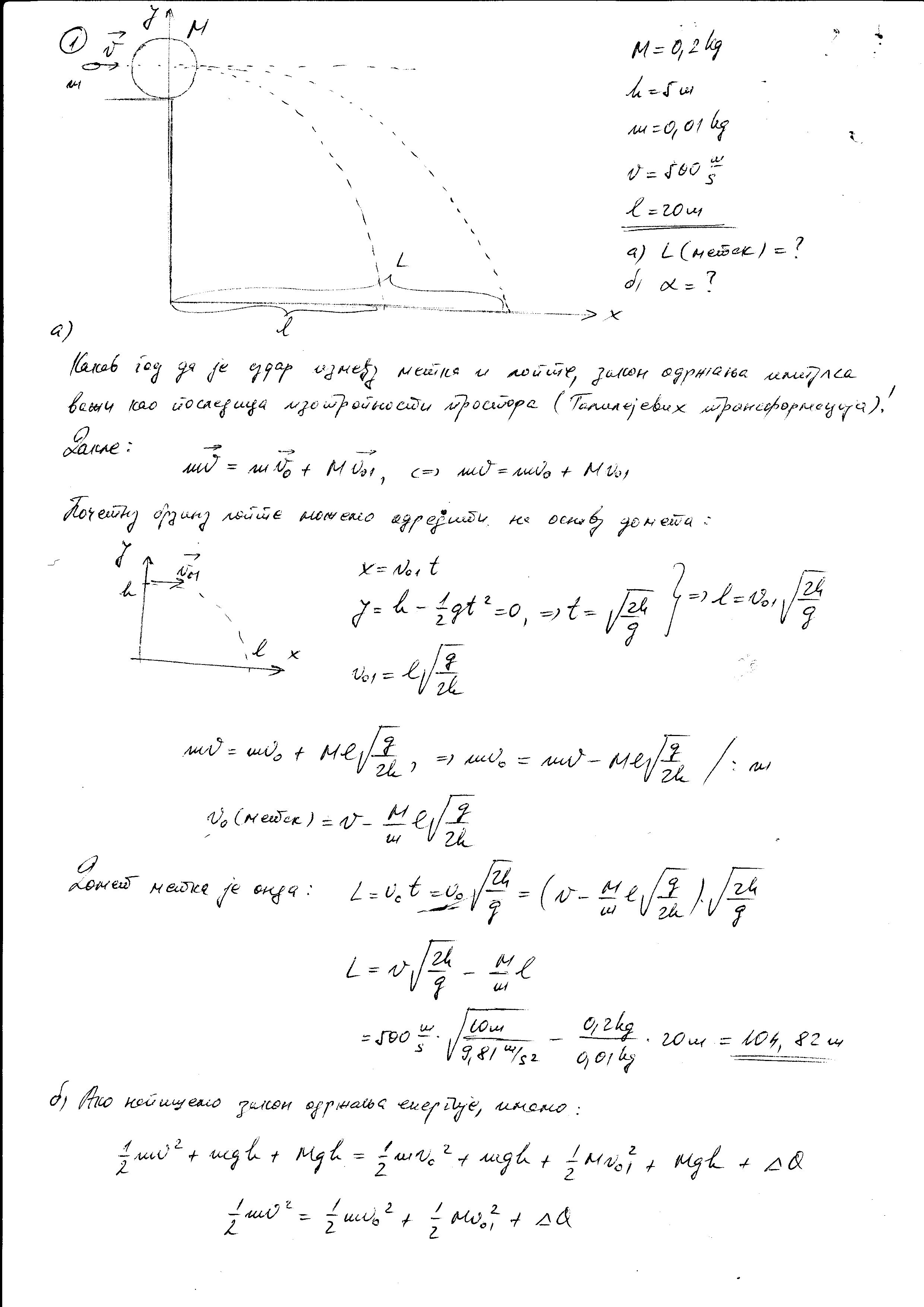
2.jpg
2.jpg
3.jpg
3.jpg
4.jpg
4.jpg
5.jpg
5.jpg
6.jpg
6.jpg
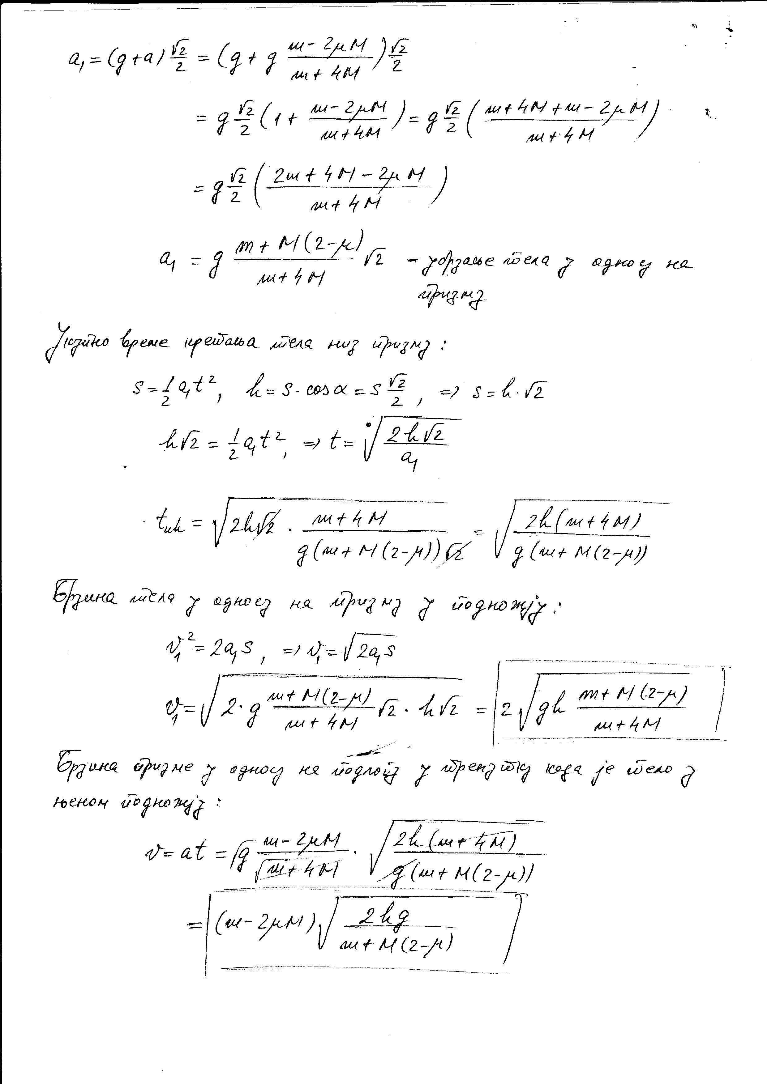
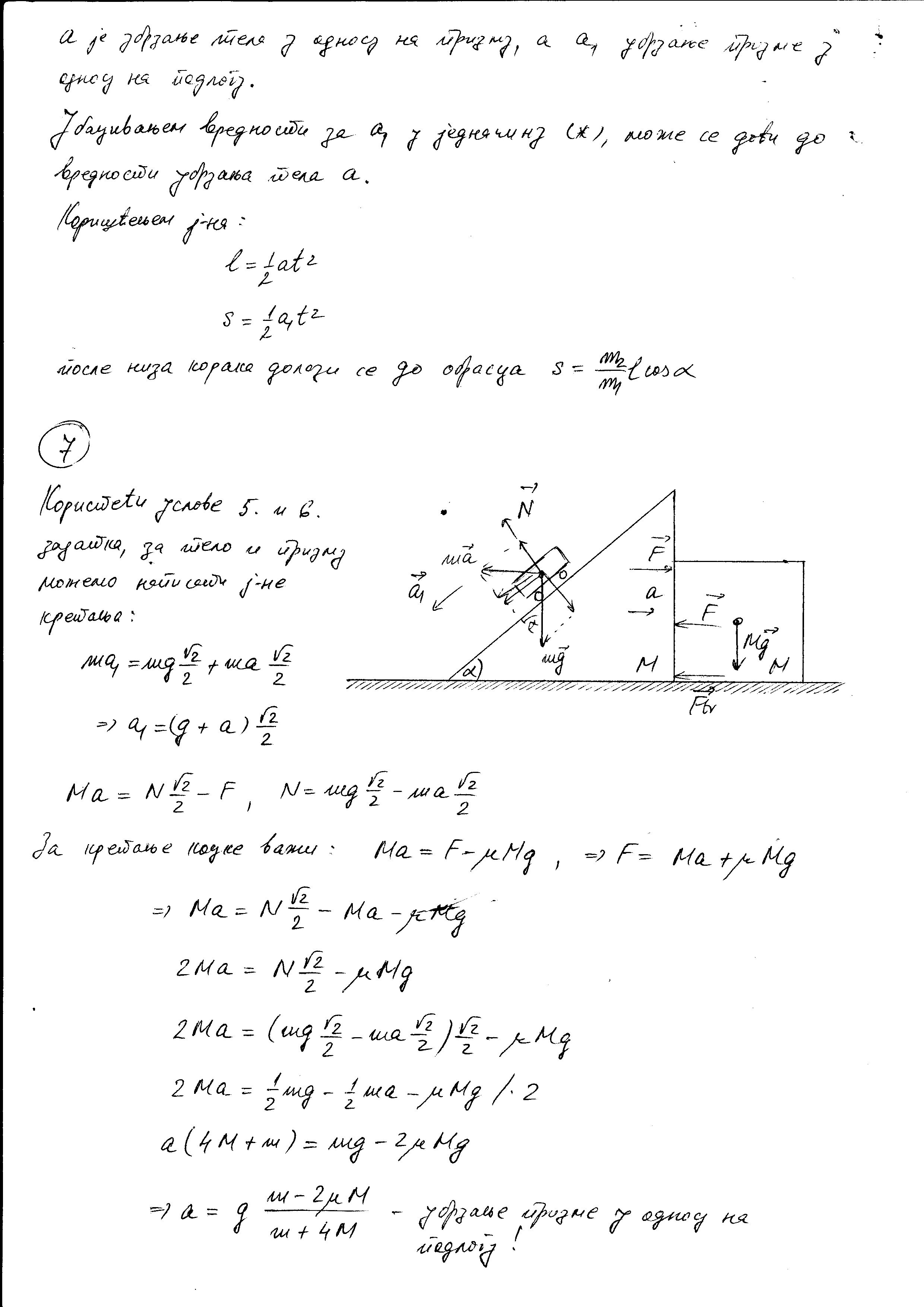
7.jpg
7.jpg
8.jpg
8.jpg
9.jpg
9.jpg